Menü Adıyaman Ekspres Haber
Tarih: 07.08.2025 10:26
Proje ve kontrolluk işlerinde yeni fiyat artış oranları belirlendi!

Proje ve kontrolluk işlerinde yeni fiyat artış oranları belirlendi!

Facebook Twitter Linked-in

Çevre, Şehircilik ve İklim Değişikliği Bakanlığı, kamu sektöründeki proje ve kontrolluk işlerinde uygulanacak fiyat artış oranlarını güncelledi. Yeni oranlar 1 Temmuz 2025'ten itibaren geçerli olacak.

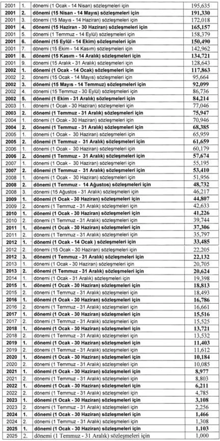
ANKARA (İGFA) - Çevre, Şehircilik ve İklim Değişikliği Bakanlığı, 7 Ağustos 2025 tarihli Resmî Gazete'de yayımlanan tebliğle, kamu sektörüne ait proje ve kontrolluk işlerinde fiyat artış oranlarını yeniden düzenledi.

28 Temmuz 1988 tarihli ve 88/13181 sayılı Bakanlar Kurulu Kararı'na dayanan tebliğ, Bakanlık Yapı İşleri Genel Müdürlüğü Proje Dairesi Başkanı'nın net maaşındaki artış oranları esas alındı.

1980-2000 yılları arasındaki fiyat artış oranlarının hesaplanmasında, 7 Ağustos 2013 tarihli ve 28731 sayılı Resmî Gazete'de yayımlanan tebliğdeki katsayıların (20,624) kullanılması gerektiği belirtilen yeni tebliğ ile 31 Ocak 2025 tarihli ve 32799 sayılı Resmî Gazete'de yayımlanan önceki tebliğ yürürlükten kaldırıldı.

Yeni oranlar, 1 Temmuz 2025 tarihinden itibaren geçerli olacak.




Orjinal Habere Git
— HABER SONU —